不定積分
數學
分析
期末考試臨近
今天我們一起來復習不定積分吧
Part1筆記
FROM:人工智能2403班龐怡彤







Part2習題
第1題
換元積分法

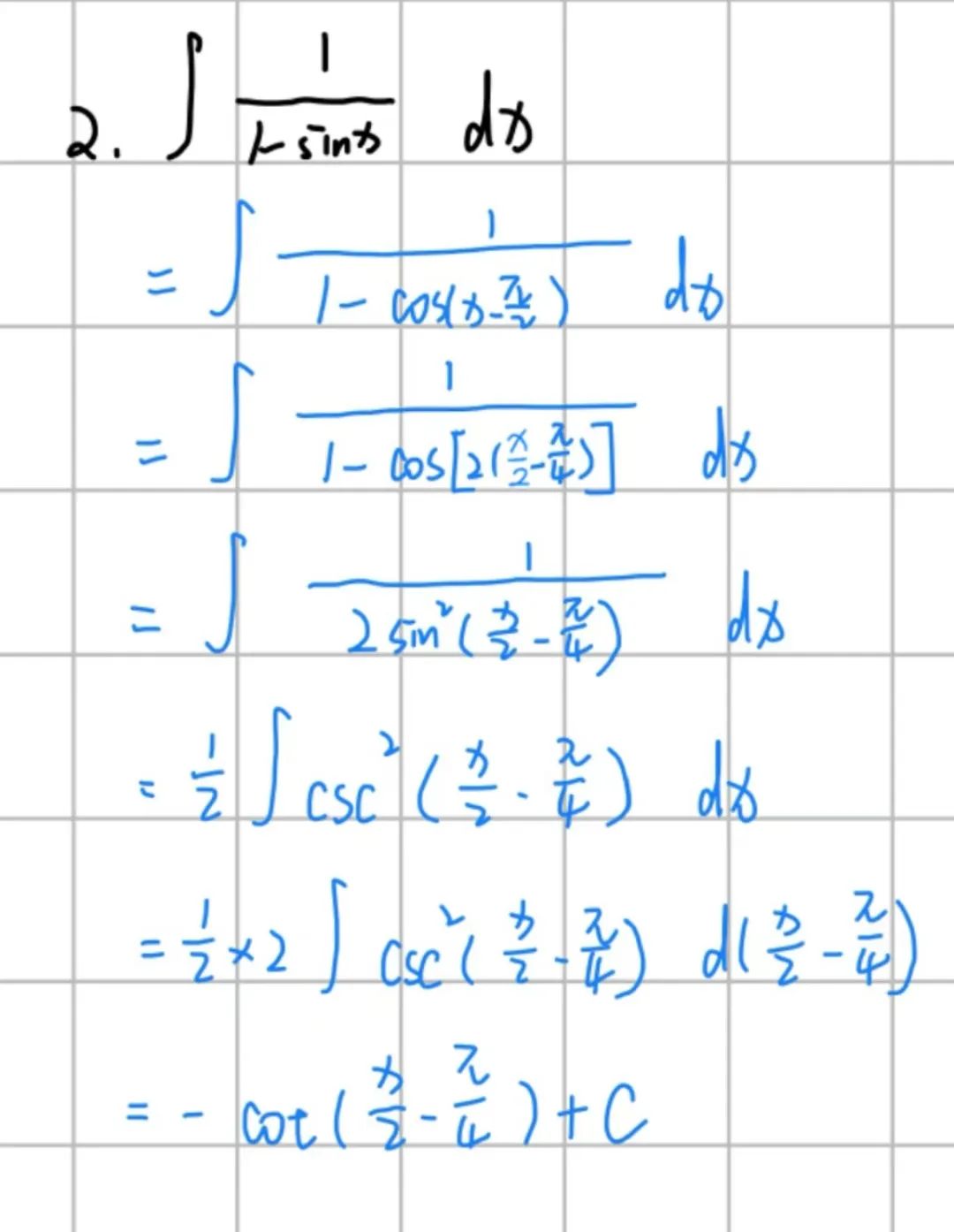
第2題
解法一:

解法二:

第3題
湊微分+分部積分法
今天的復習就到這里了
祝愿大家在期末都能考出理想的成績!
關注SUIBE青春統信
獲取更多資訊
高數幫幫站線上交流群
為你的數學加分
筆記整理 |龐怡彤
習題整理 |李潛源
文案丨院學生會學生辦公室陸昕宇
排版丨院學生會學生辦公室 陸昕宇
審核丨院學生會學生辦公室沈詣豪
責編丨彭 鵬
不定積分
數學
分析
期末考試臨近
今天我們一起來復習不定積分吧
Part1筆記
FROM:人工智能2403班龐怡彤







Part2習題
第1題
換元積分法

第2題
解法一:

解法二:

第3題
湊微分+分部積分法
今天的復習就到這里了
祝愿大家在期末都能考出理想的成績!
關注SUIBE青春統信
獲取更多資訊
高數幫幫站線上交流群
為你的數學加分
筆記整理 |龐怡彤
習題整理 |李潛源
文案丨院學生會學生辦公室陸昕宇
排版丨院學生會學生辦公室 陸昕宇
審核丨院學生會學生辦公室沈詣豪
責編丨彭 鵬